Soalan Dan Jawapan Ekonomi Tingkatan 4 Bab 1
Buku teks untuk pelajar yang mengambil subjek sains kssm tingkatan 4. Gunakan Ini Sebagai Panduan Sahaja.
2019 Pt3 Sejarah Contoh Soalan Jawapan Unit Penting Berdasarkan Bab Pdf
Soalan Aneka pilihan Respon terhad gabungan struktur 40 soalan Bhg A 5 soalan plh 3 Bhg B 1 soalan.
Soalan dan jawapan ekonomi tingkatan 4 bab 1. Kos lepas wujud akibat daripada masalah kekurangan sumber ekonomi. Soalan dan jawapan latihan buku teks tingkatan 4 bab 1. Soalan Ekonomi Tingkatan 4 Bab 1.
Soalan dan jawapan ekonomi asas tingkatan 4 bab 1 matematik soalan dan jawapan ekonomi asas tingkatan 4 bab 10 soalan dan jawapan ekonomi asas tingkatan 4 bab 4. New Slick Back Hairstyle. Facebook Twitter Newer Post Older Post Search Here.
Ad Find deals on Products on Amazon. Soalan Peperiksaan Soalan Percubaan Nota Latihan Modul Soalan Jawapan Rujukan SPM Tingkatan 4 5. 1 Antara berikut yang manakah menerangkan tentang konsep ekonomi.
Start studying ekonomi tingkatan 4 bab. Soalan dan jawapan matematik upsr soalan dan jawapan matematik tahun 5 soalan teka teki dan jawapan soalan dan jawapan matematik upsr soalan dan jawapan matematik tahun 5 soalan ikatan dan simpulan Soalan Dan Jawapan Ekonomi Tingkatan 4 Bab 1. Calon SPM wajib menduduki semua kertas peperiksaan bagi mata pelajaran yang didaftar.
Format Peperiksaan Ekonomi Asas SPM Perkara Kertas 1 Kertas 2 Jenis instrumen Objektif Subjektif Jenis item Bil. Sejarah Kertas 3 SPM Semua Bab Tingkatan 4 dan 5. Soalan kata nama am dan kata nama khas soalan kata nama am tahun 2 soalan kata nama am dan kata nama khas soalan kata nama am soalan.
Please fill this form we will try to respond as soon as possible. Soalan Peperiksaan Soalan Percubaan Soalan KBAT Nota Modul Soalan Latihan. Soalan percubaan ekonomi asas spm terengganu soalan spm ekonomi soalan stpm ekonomi penggal 1 Soalan Ekonomi Tingkatan 4 Bab 1.
Related Posts To Soalan Ekonomi Tingkatan 4 Bab 1. Soalan Ekonomi Tingkatan 4 Bab 1 Related Posts To Soalan Ekonomi Tingkatan 4 Bab 1 Soalan Ekonomi Tingkatan 4 Bab 1 2021-09-05T190500-0700 Rating. Soalan Kata Nama Am Konkrit.
Soalan Peperiksaan Soalan Percubaan Jawapan Nota Modul Soalan Latihan Tingkatan 4 dan Tingkatan 5. Soalan dan jawapan ekonomi tingkatan 4 bab 1 soalan dan jawapan ekonomi tingkatan 4 bab 2 soalan dan jawapan ekonomi tingkatan 4 bab 3 soalan dan jawapan ekonomi. Read customer reviews find best sellers.
Jawapan Soalan Buku Teks Ekonomi Tingkatan 4. Soalan ekonomi tingkatan 4. Calon yang tidak dapat menduduki mana-mana kertas peperiksaan bertulis atau.
Read customer reviews find best sellers. Soalan Geografi Tingkatan 1 Bab 8. Ekonomi Asas Tingkatan 4 Bab 1 1.
Contoh Soalan Peperiksaan Skema Jawapan. Soalan objektif aneka pilihanfull description. Start studying ekonomi tingkatan 4 bab.
Browse discover thousands of brands. Rph Sejarah P2 Tingkatan. Soalan Objektif Ekonomi Tingkatan 4 Bab 1 2019-10-30T050300-0700 Rating.
Soalan dan jawapan ekonomi asas tingkatan 4 bab 1. Ekonomi SPM Tingkatan 4 5. EKONOMI ASAS Pengenalan Kepada Ekonomi 2.
Browse discover thousands of brands. Other sets by this creator. Ekonomi asas tingkatan 4 presentation transcript.
BAB 1- PENGENALAN KEPADA EKONOMI. Ad Find deals on Products on Amazon. Newer Post Older Post.
Related Posts To Soalan Dan Jawapan Ekonomi Asas Tingkatan 4 Bab 1 Soalan Dan Jawapan Ekonomi Asas Tingkatan 4 Bab 1 2019-11-20T010400-0800 Rating. Koleksi Soalan Spm Bab 1 Ting. Soalan dan jawapan ekonomi asas tingkatan 4 bab 1.
Ekonomi asas buku aktivititingkatan 4 bab 1.
Contoh Soal Ekonomi Mikro Dan Penyelesaiannya Rasmi H
Soalan Objektif Ekonomi Asas Tingkatan 4 Bab 1 Kebaya Ume

Soalan Ekonomi Asas Tingkatan 4 Bab 1 Kertas 2 Main Game 2
![]()
Soalan Latihan Ekonomi Asas Tingkatan 4 Helowinr

Pep Percubaan Perak K12015 Pep
Latihan Bab 9 Sumber Semula Jadi Utama Dan Kerjasama Ekonomi Di Dunia Flip Ebook Pages 1 7 Anyflip Anyflip
Jawapan Latihan Pengukuhan Bab 1 Penggal 2 Pdf
Latihan Bab 3 Ekonomi Tingkatan 4 Skema Pdf
Soalan Sebenar Ekonomi P1 2016 Pdf
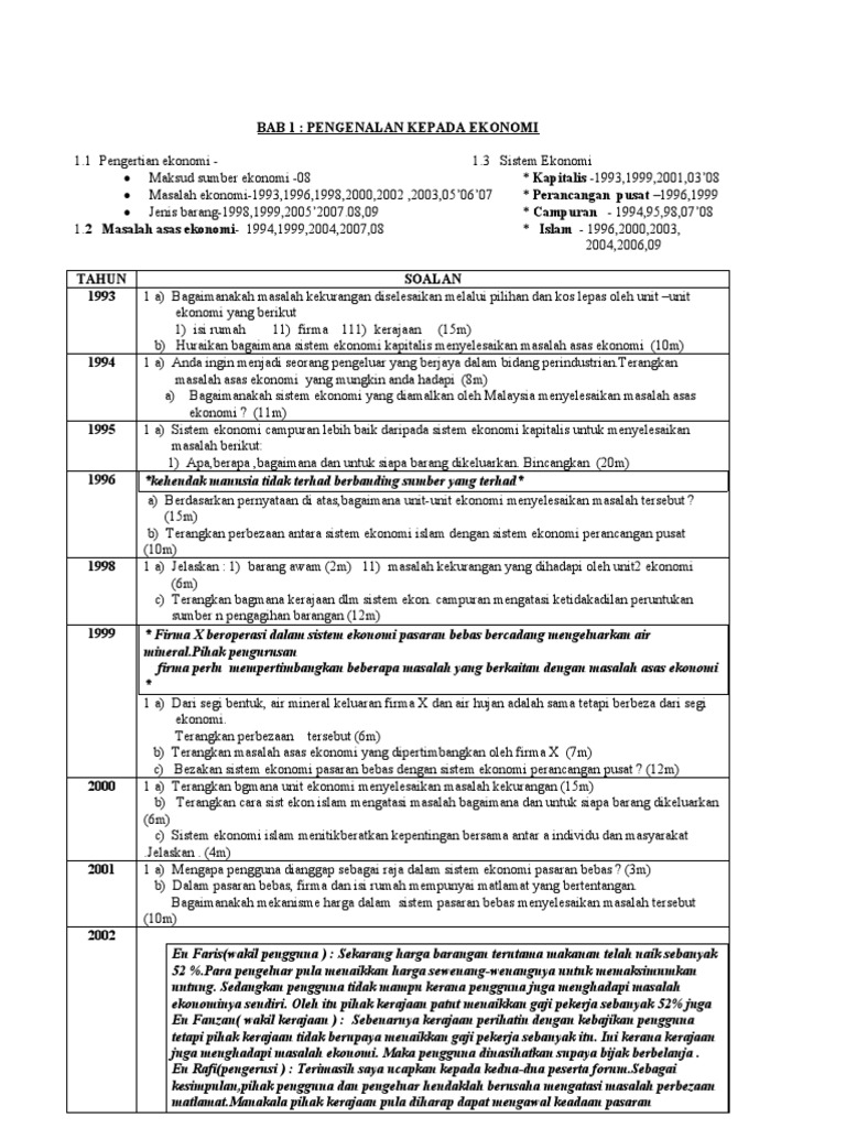
Bab 1 Pengenalan Kepada Ekonomi Spm Kertas 2 1993 2009

3 3 4 Penggunaan Pendapatan Individu Worksheet
Contoh Soalan Ekonomi Asas Tingkatan 4 Bab 1 Rasmi X

Soalan Ekonomi Asas Tingkatan 4 Bab 1 Resepi Book F

Soalan Target Sejarah Spm 2016 Tingkatan 4 Tajuk Fakta Soalan Kbat Bab 1 Kemunculan Tamadun Awal Manusia Lokasi Tama Target Anime Guys

1 4 Langkah Mempertahankan Kedaulatan Worksheet
Top One Ekonomi F4 Penerbitan Pelangi Sdn Bhd Flip Ebook Pages 1 50 Anyflip Anyflip
Latihan Sejarah Tingkatan 3 Bab 1

0 Response to "Soalan Dan Jawapan Ekonomi Tingkatan 4 Bab 1"
Catat Ulasan