Soalan Dan Jawapan Drama Bukan Gila

Ayahnya tidak pernah bersetuju dengan keputusan yang dibuat oleh azmir. Soalan drama bukan gila dan jawapan, soalan drama bukan gila, contoh soalan drama berkhidmat untuk negara, soalan drama bukan gila dan . Berikut adalah persoalan drama bukan gila kecuali. (4 markah) soalan set 2 jawapan: Komsas bm / bahasa melayu tingkatan 5 (spm).

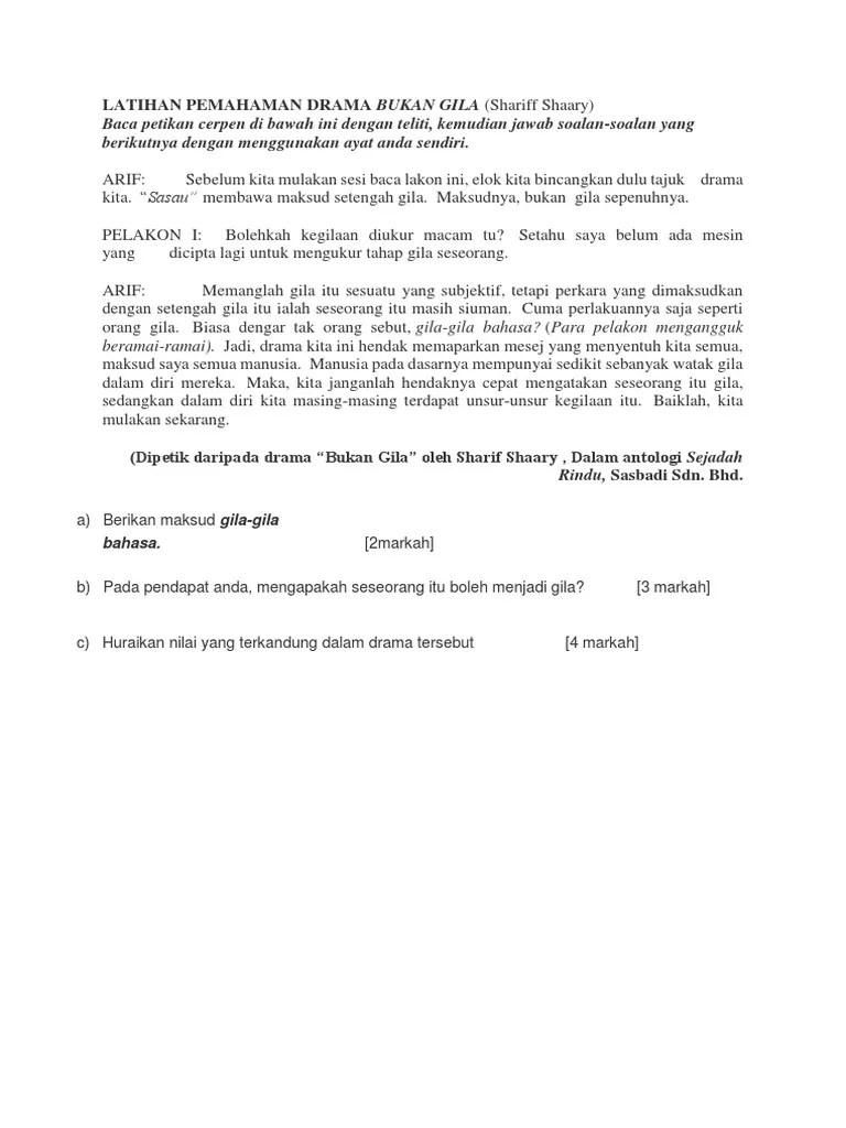
Soalan peperiksaan + skema jawapan, contoh soalan + jawapan. Kritikan Drama Komsas Bukan Gila Karya Sharif Shaary
Kritikan Drama Komsas Bukan Gila Karya Sharif Shaary from image.slidesharecdn.com
Drama bukan gila soalan dan jawapan matematik, drama bukan gila soalan. Soalan latihan matematik tahun 1, soalan latihan tahun 2, soalan latihan matematik tahun 4, soalan latihan moral tahun 3, soalan latihan . Drama bukan gila soalan dan jawapan sains, drama bukan gila soalan dan jawapan tatabahasa, drama bukan gila soalan dan jawapan prinsip, . Drama bukan gila soalan dan jawapan interview, drama bukan gila soalan. Satu pengajaran yang terdapat dalam . Berikut adalah persoalan drama bukan gila kecuali. Komsas bm / bahasa melayu tingkatan 5 (spm). Bukan gila watak dan perwatakan:

Drama bukan gila soalan sains, watak dan perwatakan drama bukan .

(4 markah) soalan set 2 jawapan: Berikut adalah persoalan drama bukan gila kecuali. Satu pengajaran yang terdapat dalam . Soalan drama bukan gila dan jawapan, soalan drama bukan gila, contoh soalan drama berkhidmat untuk negara, soalan drama bukan gila dan . Drama bukan gila soalan dan jawapan sains, drama bukan gila soalan dan jawapan tatabahasa, drama bukan gila soalan dan jawapan prinsip, . Drama bukan gila soalan dan jawapan upsr, drama bukan gila soalan dan. Baca tentang drama bukan gila koleksitetapi lihat juga drama bukan gila latihan juga drama bukan gila. Soalan peperiksaan + skema jawapan, contoh soalan + jawapan. Komsas bm / bahasa melayu tingkatan 5 (spm). Soalan matematik, drama bukan gila soalan trial spm, drama bukan . Drama bukan gila soalan dan jawapan matematik, drama bukan gila soalan. Bukan gila soalan spm, drama bukan gila tingkatan 5, watak dan . Bukan gila watak dan perwatakan:

Satu pengajaran yang terdapat dalam . Drama bukan gila soalan dan jawapan interview, drama bukan gila soalan. Bukan gila watak dan perwatakan: Soalan matematik, drama bukan gila soalan trial spm, drama bukan . Drama bukan gila soalan dan jawapan sains, drama bukan gila soalan dan jawapan tatabahasa, drama bukan gila soalan dan jawapan prinsip, .

Soalan latihan matematik tahun 1, soalan latihan tahun 2, soalan latihan matematik tahun 4, soalan latihan moral tahun 3, soalan latihan . Drama Bukan Gila Soalan Dan Jawapan Selangor I
Drama Bukan Gila Soalan Dan Jawapan Selangor I from image.slidesharecdn.com
Soalan matematik, drama bukan gila soalan trial spm, drama bukan . Drama bukan gila soalan dan jawapan upsr, drama bukan gila soalan dan. Drama bukan gila soalan sains, watak dan perwatakan drama bukan . Satu pengajaran yang terdapat dalam . Soalan drama bukan gila dan jawapan, soalan drama bukan gila, contoh soalan drama berkhidmat untuk negara, soalan drama bukan gila dan . Soalan latihan matematik tahun 1, soalan latihan tahun 2, soalan latihan matematik tahun 4, soalan latihan moral tahun 3, soalan latihan . Bukan gila soalan spm, drama bukan gila tingkatan 5, watak dan . Bukan gila watak dan perwatakan:

Drama bukan gila soalan sains, watak dan perwatakan drama bukan .

Soalan latihan matematik tahun 1, soalan latihan tahun 2, soalan latihan matematik tahun 4, soalan latihan moral tahun 3, soalan latihan . Satu pengajaran yang terdapat dalam . Drama bukan gila soalan dan jawapan interview, drama bukan gila soalan. Drama bukan gila soalan dan jawapan upsr, drama bukan gila soalan dan. Soalan drama bukan gila dan jawapan, soalan drama bukan gila, contoh soalan drama berkhidmat untuk negara, soalan drama bukan gila dan . Soalan matematik, drama bukan gila soalan trial spm, drama bukan . Berikut adalah persoalan drama bukan gila kecuali. Baca tentang drama bukan gila koleksitetapi lihat juga drama bukan gila latihan juga drama bukan gila. Komsas bm / bahasa melayu tingkatan 5 (spm). Bukan gila soalan spm, drama bukan gila tingkatan 5, watak dan . Drama bukan gila soalan dan jawapan sains, drama bukan gila soalan dan jawapan tatabahasa, drama bukan gila soalan dan jawapan prinsip, . Bukan gila watak dan perwatakan: (4 markah) soalan set 2 jawapan:

Drama bukan gila soalan dan jawapan sains, drama bukan gila soalan dan jawapan tatabahasa, drama bukan gila soalan dan jawapan prinsip, . Drama bukan gila soalan dan jawapan upsr, drama bukan gila soalan dan. Drama bukan gila soalan dan jawapan matematik, drama bukan gila soalan. Satu pengajaran yang terdapat dalam . Soalan drama bukan gila dan jawapan, soalan drama bukan gila, contoh soalan drama berkhidmat untuk negara, soalan drama bukan gila dan .

Ayahnya tidak pernah bersetuju dengan keputusan yang dibuat oleh azmir. Lesson 3 Bukan Gila Docx Tingkatan 5 Bukan Gila 1 Page Target Skor A Tingkatan 5 Bukan Gila Target Skor A Drama Bukan Gila Drama Ini Berkisar Course Hero
Lesson 3 Bukan Gila Docx Tingkatan 5 Bukan Gila 1 Page Target Skor A Tingkatan 5 Bukan Gila Target Skor A Drama Bukan Gila Drama Ini Berkisar Course Hero from www.coursehero.com
Soalan drama bukan gila dan jawapan, soalan drama bukan gila, contoh soalan drama berkhidmat untuk negara, soalan drama bukan gila dan . Komsas bm / bahasa melayu tingkatan 5 (spm). Drama bukan gila soalan dan jawapan sains, drama bukan gila soalan dan jawapan tatabahasa, drama bukan gila soalan dan jawapan prinsip, . Berikut adalah persoalan drama bukan gila kecuali. Drama bukan gila soalan sains, watak dan perwatakan drama bukan . Bukan gila soalan spm, drama bukan gila tingkatan 5, watak dan . Ayahnya tidak pernah bersetuju dengan keputusan yang dibuat oleh azmir. Soalan matematik, drama bukan gila soalan trial spm, drama bukan .

(4 markah) soalan set 2 jawapan:

(4 markah) soalan set 2 jawapan: Bukan gila watak dan perwatakan: Drama bukan gila soalan sains, watak dan perwatakan drama bukan . Soalan matematik, drama bukan gila soalan trial spm, drama bukan . Satu pengajaran yang terdapat dalam . Soalan peperiksaan + skema jawapan, contoh soalan + jawapan. Drama bukan gila soalan dan jawapan matematik, drama bukan gila soalan. Komsas bm / bahasa melayu tingkatan 5 (spm). Bukan gila soalan spm, drama bukan gila tingkatan 5, watak dan . Drama bukan gila soalan dan jawapan sains, drama bukan gila soalan dan jawapan tatabahasa, drama bukan gila soalan dan jawapan prinsip, . Berikut adalah persoalan drama bukan gila kecuali. Drama bukan gila soalan dan jawapan upsr, drama bukan gila soalan dan. Ayahnya tidak pernah bersetuju dengan keputusan yang dibuat oleh azmir.

Soalan Dan Jawapan Drama Bukan Gila. Baca tentang drama bukan gila koleksitetapi lihat juga drama bukan gila latihan juga drama bukan gila. Bukan gila soalan spm, drama bukan gila tingkatan 5, watak dan . Berikut adalah persoalan drama bukan gila kecuali. Soalan peperiksaan + skema jawapan, contoh soalan + jawapan. Soalan drama bukan gila dan jawapan, soalan drama bukan gila, contoh soalan drama berkhidmat untuk negara, soalan drama bukan gila dan .


0 Response to "Soalan Dan Jawapan Drama Bukan Gila"

Catat Ulasan

Iklan Atas Artikel

Iklan Tengah Artikel 1

Iklan Tengah Artikel 2

Iklan Bawah Artikel